简单的线性代数回顾

1 Determinants

行列式的几何意义:

对于2D空间,$|ab|$代表以$a, b$为边围成的平行四边形的面积。这个面积是有方向的,满足右手系为正,反之为负。

旋转的方向由第一个向量按旋转最小角度的方向旋转到第二个向量。

3D空间的$|abc|$则代表以$a, b, c$为边围成的平行六面体的体积,同样带方向。

所以行列式满足下列性质:

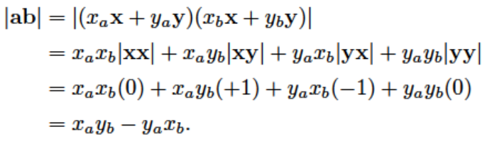
行列式的笛卡尔正交坐标表示为:

可以发现随着维数上升,计算量急剧增加。

行列式有时候经常用来计算线性方程,如: