The machinery of linear algebra can be used to express many of the operations required to arrange objects in a 3D scene, view them with cameras, and get them onto the screen.

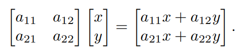
可以像上述图片一样,利用一个矩阵乘法把一个2维向量转换为另一个2维向量,这种变换就叫做linear transformation.

表示的是坐标轴方向缩放的比例。
A shear is something that pushed things sideaways, producing something like a deck of cards across which you push your hand; the bottom card stays put and cards move more the closer they are to the top of the deck.

一个矩阵经过剪切会得到平行四边形,而一个圆形经过剪切会得到一个椭圆。
剪切还可以被看作是单个坐标轴的旋转。如:


可以看成是垂直坐标轴顺时针旋转角度ϕ。


可以看成是水平坐标轴逆时针旋转角度ϕ。